#5455. spoj DIVCNT2

内存限制:512 MiB 时间限制:20 Sec

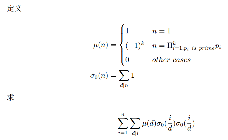
题目描述

输入格式

第一行一个自然数 T 表示数据组数
下接 T 行,每行一个正整数 n
T ≤ 10, n ≤ 10^9

输出格式

输出 T 行,每行一个数字表示答案

样例

样例输入


			
4
233333
2333333
23333333
233333333

样例输出


			
14145459
191698371
2494643347
31475021381

数据范围与提示