输入的第一行包含两个整数n,m意义见题目描述。
接下来一行有n个整数,第i个整数表示ai(1≤ai<998244353)
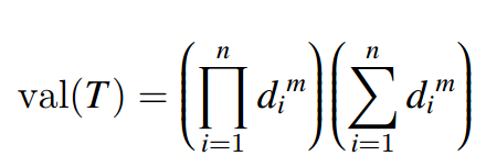
你可以由ai计算出图的总点数s,所以在输入中不再给出s的值。
本题共有 20个测试点,每个测试点 5 分。
20%的数据中,n≤500
另外 20% 的数据中,n≤3000
另外 10% 的数据中,n≤10010,m=1
另外 10%的数据中,n≤10015,m=2
另外 20% 的数据中,所有 ai相等。
100% 的数据中,n≤3×10^4,m≤30

