#4916. 神犇和蒟蒻

内存限制:512 MiB 时间限制:10 Sec

题目描述

很久很久以前,有一只神犇叫yzy;
很久很久之后,有一只蒟蒻叫lty;

输入格式

请你读入一个整数N;1<=N<=1E9,A、B模1E9+7;

输出格式

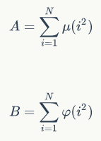
请你输出一个整数A=\sum_{i=1}^N{\mu (i^2)};
请你输出一个整数B=\sum_{i=1}^N{\varphi (i^2)};

样例

样例输入


			
1

样例输出


			
1
1

数据范围与提示