#4734. 如何优雅地求和

内存限制:512 MiB 时间限制:20 Sec

题目描述

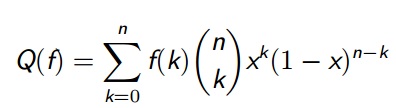
有一个多项式函数 f(x),最高次幂为x^m,定义变换 Q:
现在给定函数 f 和 n, x,求 Q(f) mod 998244353。

输入格式

输出格式

样例

样例输入


			
4 1 332748118
0 1

样例输出


			
332748119

数据范围与提示