#3527. [Zjoi2014]力

内存限制:256 MiB 时间限制:30 Sec

题目描述

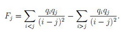
给出n个数qi,给出Fj的定义如下:
令Ei=Fi/qi,求Ei.

输入格式

第一行一个整数n。
接下来n行每行输入一个数,第i行表示qi。
n≤100000,0<qi<1000000000

输出格式

 n行,第i行输出Ei。与标准答案误差不超过1e-2即可。

样例

样例输入


			
5
4006373.885184
15375036.435759
1717456.469144
8514941.004912
1410681.345880

样例输出


			
-16838672.693
3439.793
7509018.566
4595686.886
10903040.872

数据范围与提示