有3行。
第一行包含1个正整数n,表示树的节点个数。
第二行包含n个正整数,是一个1~n的排列,表示树的DFS序。
第三行包含n个正整数,是一个1~n的排列,表示树的BFS序。
输入保证至少存在一棵树符合给定的两个序列。
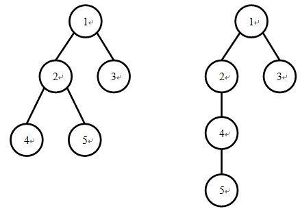
我们知道一棵有根树可以进行深度优先遍历(DFS)以及广度优先遍历(BFS)来生成这棵树的DFS序以及BFS序。两棵不同的树的DFS序有可能相同,并且它们的BFS序也有可能相同,例如下面两棵树的DFS序都是1 2 4 5 3,BFS序都是1 2 3 4 5

现给定一个DFS序和BFS序,我们想要知道,符合条件的有根树中,树的高度的平均值。即,假如共有K棵不同的有根树具有这组DFS序和BFS序,且他们的高度分别是h1,h2,...,hk,那么请你输出
(h1+h2..+hk)/k
有3行。
第一行包含1个正整数n,表示树的节点个数。
第二行包含n个正整数,是一个1~n的排列,表示树的DFS序。
第三行包含n个正整数,是一个1~n的排列,表示树的BFS序。
输入保证至少存在一棵树符合给定的两个序列。
仅包含1个实数,四舍五入保留恰好三位小数,表示树高的平均值。
5
1 2 4 5 3
1 2 3 4 5
3.500【评分方式】
如果输出文件的答案与标准输出的差不超过0.001,则将获得该测试点上的分数,否则不得分。
【数据规模和约定】
20%的测试数据,满足:n≤10;
40%的测试数据,满足:n≤100;
85%的测试数据,满足:n≤2000;
100%的测试数据,满足:2≤n≤200000。
【说明】
树的高度:一棵有根树如果只包含一个根节点,那么它的高度为1。否则,它的高度为根节点的所有子树的高度的最大值加1。
对于树中任意的三个节点a , b , c ,如果a, b都是c的儿子,则a, b在BFS序中和DFS序中的相对前后位置是一致的,即要么a都在b的前方,要么a都在b的后方。