#2899. 含糊的安全锁

内存限制:256 MiB 时间限制:10 Sec

题目描述

D博士最近设计了一款新的密码锁,密码锁的工作原理如下:
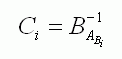
       密码A是一个N个数的序列,每个元素都是1至N之间的一个整数。刚刚安装时,密码锁内部会随机出一个1至N的排列B,然后根据A、B产生一组比对码C:
       其中表示元素i在B中的位置,比如说:B = {3,1,2},那么有:B3-1 =1、B1-1 =2。
       这种密码锁有非常优异的性能,比如说就算有人通过黑客手段得到C,他们也不可能轻易的得到正确的A输入,而如果没有A,仅仅得到了C也是没有用的。出于此,Y老板向D博士订购了一套这样的密码锁。这时一种D博士没有考虑到的特殊情况发生了:
       Y老板是一个非常健忘的人,有一天他竟然忘记了自己密码锁的密码!
D博士立刻从中取出了对应码C,但是因为不知道B,他仍然无法找出A的具体值,于是他把这个艰巨的任务交给你,他的助手。你的任务是,统计所有可能的A序列总数。

输入格式

输入文件第一行包含一个整数N,第二行包含N个整数表示对比码C。

输出格式

 
输出文件仅包含一个整数,即所有可能的A序列的总数,鉴于答案可能很大,你只需要输出其模1000000007的余数即可。

样例

样例输入


			
5
3 2 5 2 2

样例输出


			
120
Data Limit
对于30%的数据,有1 ≤ N ≤ 8。
对于100%的数据,有1 ≤ N ≤ 50。

数据范围与提示