南非世界杯离我们越来越近了,与足球有紧密联系的足球彩票也越来越引起了人们的强烈关注。
了解足球彩票的人可能知道,足球彩票中有一种游戏叫做“胜负彩”,意为猜比赛的胜负。下面是一些与胜负彩有关的术语:
注 :每一组有效组合数据。
投 注:彩民以现金购买足球彩票的行为。
单式投注:彩民对于所有球队的比赛成绩均只选择一种预测结果的投注方式。投注的数量(注数)为1。
复式投注:彩民对于某些场次的比赛成绩选择两种以上的预测结果的投注方式。投注的数量为复式投注的组合数。例如,某彩民对一场比赛预测了两个结果(例如,胜平),另一场比赛预测了三个结果(胜负平),其他比赛都只预测了一种结果,那么注数就是2×3 = 6。这样的一个复式投注,可以看成一个包含六种单式投注的集合。
胜负彩的玩法一般是这样的。彩票机构指定一轮比赛中的若干场,让彩民去猜每场比赛的结果(胜、负、平)。根据彩民猜中比赛的场次,来确定中奖的额度。
我们现在考虑一个简化的模型。对于一轮比赛,彩民需要竞猜其中n场比赛的结果,每场比赛的胜负平都有一个概率p(i, r)。其中,i表示第i场比赛。r = 0, 1, 2,分别表示比赛结果的(主队)负、平、胜。p(i, r)则表示第i场比赛、结果为r的概率。此外,还有一个概率q(i, r),表示第i场比赛,投注购买结果为r的概率。
例如,如果q(1,0) = 0.5,我们可以知道第一场比赛有50%的投注会买主队输球。我们假设这n场比赛互不相关,即p(i, r)的结果不会受p(j, r’)的影响,q(i, r)的结果也不会受q(j, r’)的影响(r ≠ r’)。
在这个模型里,我们规定,必须猜中全部n场比赛的结果才能获奖。总奖金为M,由所有获奖的投注平分。因此,对于一个单式投注Ri = {ri1, ri2, …, rin},rij表示投注Ri对第j场比赛的预测结果,它的中奖概率为:

设投注总数为N,那么中奖的投注总数为:

于是,投注Ri所能得到的奖金的期望(平均意义下能够获得的奖金数)就是:

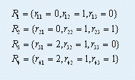
以上考虑的仅仅是单式投注的情况,即仅考虑单注Ri的中奖情况。对于复式投注,情况要复杂一些。采用复式投注时,投注的是一个集合R = {R1, R2, …, Rk},其中k是投注的数量。例如,三场比赛,第一场猜“胜负”,第二场猜“平”,第三场猜“负平”,则k = 4,R集合如下:

复式投注R中,只要有一个Ri猜对所有比赛结果,即可中奖。因此,复式投注R所能获得的奖金的期望就是: 我们的问题是,给定n场比赛的信息(胜负平的概率和彩民购买三种结果的概率),以及复式投注中可以购买的最大注数U,要求设计一种复式投注的方案,在不超过最大注数(复式投注的注数k ≤ U)的前提下,使得获得奖金的期望最大。

1 10 10 1
0.3 0.2 0.5 0.7 0.2 0.1
1.609