#2749. [HAOI2012]外星人

内存限制:128 MiB 时间限制:3 Sec

题目描述

输入格式

输出格式

输出test行,每行一个整数,表示答案。

样例

样例输入


			
1
2
2 2
3 1

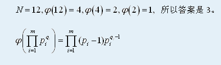
样例输出


			
3

数据范围与提示


Test<=50 Pi<=10^5,1<=Q1<=10^9