In the first line of the standard input there is a single integer (2< = N < = 200000) that denotes the number of leaves in Byteasar's tree. Next, the description of the tree follows. The tree is defined recursively: if there is a leaf labelled with ()(1<=P<=N) at the end of the trunk (i.e., the branch from which the tree stems), then the tree's description consists of a single line containing a single integer , if there is a bifurcation at the end of the trunk, then the tree's description consists of three parts: the first line holds a single number , then the description of the left subtree follows (as if the left branch forking out of the bifurcation was its trunk), and finally the description of the right subtree follows (as if the right branch forking out of the bifurcation was its trunk).
第一行n
下面每行,一个数x
如果x==0,表示这个节点非叶子节点,递归地向下读入其左孩子和右孩子的信息,
如果x!=0,表示这个节点是叶子节点,权值为x
1<=n<=200000

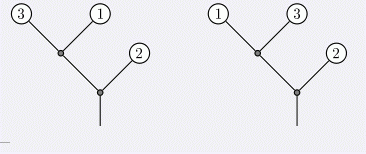
The original tree (on the left) with corona(3,1,2) has two inversions. A single rotation gives a tree (on the right) with corona(1,3,2), which has only one inversion. Each of these two trees has 5 branches. Write a program that determines the minimum number of inversions in the corona of Byteasar's tree that can be obtained by rotations.